Não foi possível enviar o arquivo. Será algum problema com as permissões?
CE009 - 1o semestre de 2017 - Agronomia
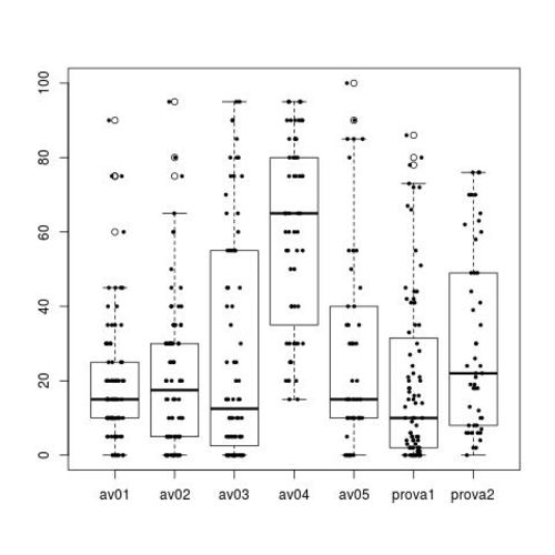
Resumo dos resultados das avaliações
vars n mean sd median trimmed mad min max range skew kurtosis se av01 1 86 19.01 17.16 15.0 16.50 7.41 0 90 90 1.82 3.97 1.85 av02 2 80 21.31 20.50 17.5 18.36 18.53 0 95 95 1.22 1.53 2.29 av03 3 76 27.24 30.48 12.5 23.47 18.53 0 95 95 0.87 -0.72 3.50 av04 4 59 59.41 25.36 65.0 60.10 29.65 15 95 80 -0.26 -1.31 3.30 av05 5 48 28.02 27.65 15.0 24.62 22.24 0 100 100 1.12 0.15 3.99 prova1 6 80 19.98 23.30 10.0 15.69 14.83 0 86 86 1.26 0.55 2.61 prova2 7 48 30.35 24.43 22.0 28.77 23.72 0 76 76 0.57 -1.14 3.53

